Institut für Metallische Biomaterialien
Die Lebenserwartung der Bevölkerung nimmt zu, außerdem betreiben immer mehr Menschen risikoreiche Sportarten. Vor diesem Hintergrund entwickelt das Institut für Metallische Biomaterialien neuartige Werkstoffe für medizinische Implantate auf Basis von Titan und Magnesium. Ein Ziel besteht darin, die Biokompatibilität von dauerhaft eingepflanzten Titan-Implantaten zu verbessern, indem wir nicht-toxische Legierungen entwickeln und die Materialien an die mechanischen Eigenschaften des Knochens anpassen. Einen weiteren Schwerpunkt bilden Magnesium-Legierungen, die sich mit der Zeit im Körper abbauen. Indem wir den Legierungen pharmazeutisch aktive Elemente wie antimikrobielles Silber beifügen, sollen während des Magnesiumabbaus neuartige Regenerations- oder Therapieeffekte wirksam werden. Unsere Arbeiten decken die gesamte Prozesskette ab, inklusive Untersuchungen in Tiermodellen sowie der intensiven Nutzung von In-situ-Methoden.
Forschung im Dialog: Unser Institut auf der Biometal 2025

Vom 25. bis 30. August trafen sich in Cetraro, Italien, Forschende aus aller Welt zur 17. Biometal-Konferenz, um aktuelle Entwicklungen rund um abbaubare Metalle zu diskutieren.
An den fünf intensiven Tagen standen Themen wie die Degradationsanalyse von Zink, Magnesium und Eisen sowie deren Verhalten unter in-vivo-Bedingungen im Fokus. Die offene Atmosphäre förderte den fachlichen Austausch und neue Kooperationen.
Mit sieben Forschenden war das Institut für metallische Biomaterialien stark vertreten. In einem Keynote, vier Vorträgen und mit fünf Postern präsentierte das Team gebündelte Expertise – und setzte klare Impulse im internationalen Dialog.
Biometal website (engl.)
Summa Cum Laude für die Doktorarbeit von Yu Sun!

v.l.n.r.: Prof. Dr. Babak Moradi, Prof. Dr. Jan-Bernd Hövener und Dr. Yu Sun
Yu Sun hat am 19. Juni 2025 seine Doktorarbeit mit dem Titel "Evaluation of structural and mechanical changes in bone in response to magnesium-based implants in diabetes rat model using multimodal imaging" an der Medizinischen Fakultät der Universität Kiel mit Auszeichnung verteidigt.
Diese herausragende Leistung unterstreicht die Bedeutung seiner Forschung im Bereich der metallischen Biomaterialien, insbesondere im Hinblick auf die strukturellen und mechanischen Veränderungen in Knochen durch magnesiumbasierte Implantate. Die Anwendung multimodaler Bildgebungstechniken spielte eine entscheidende Rolle bei der Gewinnung wertvoller Erkenntnisse.
Wir gratulieren Dr. Sun herzlich zu diesem bemerkenswerten Erfolg und freuen uns auf seine zukünftigen Beiträge im Rahmen unserer IDIR-Kooperation.
website IDIR
Kamilas Dissertationserfolg: Bedeutende Fortschritte in der Forschung zu biologisch abbaubaren Mg-Implantaten

Kamila Iskhakova hat am 18. Juni 2025 erfolgreich ihre Dissertation mit dem Titel "Linking Ultrastructure and Biomechanical Properties of Bone Adjacent to Biodegradable Mg Implants (Ultrastruktur und biomechanischen Eigenschaften von Knochen in der Umgebung von biologisch abbaubaren Mg-Implantaten)" an der Technischen Fakultät der Universität Kiel verteidigt. Ihre herausragende Arbeit wurde mit einem Magna Cum Laude ausgezeichnet.
Kamilas Forschung liefert bedeutende Einblicke in die Wechselwirkung zwischen biologisch abbaubaren Magnesiumimplantaten und dem umliegenden Knochengewebe und trägt damit zur Weiterentwicklung der biomedizinischen Technik und Implantattechnologie bei. Sie war als Early Stage Researcher im EU-Projekt MgSafe tätig.
website MgSafe (engl.)
Jonathan Espiritu erhält Magna Cum Laude für seine Dissertation über die Bildgebung von Magnesium-basierten Implantaten und deren biologischer Umgebung

Am 15. April 2025 wurde Jonathan Espiritu für seine Dissertation “Imaging Magnesium-Based Implants and their biological surroundings” an der Technischen Fakultät der Universität Kiel mit Magna Cum Laude ausgezeichnet. Diese Forschung wird die medizinische Bildgebung sowie die Visualisierung und das Verständnis der Implantatintegration im Körper verbessern. Jonathan war Early Stage Researcher im EU-Projekt MgSafe. website MgSafe (engl.)
Erfolgreicher Abschluss des DFG-Projekts OAMag: Neue Erkenntnisse über Mg-Partikel in der Arthrose-Therapie

grafische Zusammenfassung OAMag
Osteoarthritis (OA) beeinträchtigt in erheblichem Maße die Synovialgelenke, einschließlich Knorpel und subchondralen Knochen. Biomaterialien, die das Fortschreiten der OA verlangsamen können, bieten eine vielversprechende Alternative oder Ergänzung zu entzündungshemmenden und chirurgischen Behandlungen. Im Rahmen des DFG-Projekts „OAMag-Therapie“ untersuchten wir den Einsatz von Magnesium (Mg)-Mikropartikeln, die für ihr Knochenregenerationspotenzial bekannt sind, im Hinblick auf Geweberegeneration und OA-Prävention.
Um die Kompatibilität und Funktion von Mg-Mikropartikeln zu bewerten, wurden in vitro Tests mit mesenchymalen Stammzellen durchgeführt. Die Biokompatibilitätstests ergaben eine 90%ige Lebensfähigkeit der Zellen bei Mg-Konzentrationen unter 10 mM. Die Tests zeigten außerdem, dass die Mg-Abbauprodukte zur Differenzierung der mesenchymalen Stammzellen beitragen. Besonders erwähnenswert ist die Verringerung der Freisetzung von Entzündungsmarkern durch die Mg-Partikel. Darüber hinaus wurde eine Induktion der Expression von extrazellulären Matrixproteinen und Indikatorproteinen für die Knochenbildung beobachtet.
Unsere Studie deutet darauf hin, dass Mg-Mikropartikel ein therapeutisches Potenzial für die Behandlung von OA haben, indem sie selbst unter entzündlichen Bedingungen die Knochen- und Knorpelreparatur unterstützen.
Zum Artikel Chathoth et al., J Biomed Mater Res 2025 113: e37862 (engl.)
Metadaten zu nanoCT-Aufnahmen vollständig semantisch annotiert

Was zeigt dieses Bild?
Diese Frage ist schwer zu beantworten, wenn es nur für sich allein betrachtet wird. Erst mit den dazugehörigen Metadaten lässt sich erkennen, dass es sich um einen Draht aus Mg-2Ag mit 80 µm Durchmesser handelt, der für 3,8 h in Simulated Body Fluid degradiert wurde und in situ mittels Synvchrotron-basierter Computertomographie (nanoCT) dargestellt wurde.
Und was heißt das jetzt wieder? Die semantische Annotierung der Metadaten liefert nun Definitionen der Begrifflichkeiten und stellt die Zusammenhänge zwischen ihnen dar. Damit lassen sich die Bilder strukturiert und nachhaltig ablegen, sodass komplexe Schlussfolgerungen getroffen und die Daten auch von Forschenden verwendet werden können, die sie nicht selbst erzeugt haben.
Für unser Elektronisches Laborbuch Herbie haben wir nun ein Template entwickelt, mit dem nanoCT-Aufnahmen automatisiert semantisch annotiert werden, und dafür das Metadatenschema aus dem Joint Lab MDMC als Vorlage genommen.
Zum Artikel Kirchner et al. 2025, arXiv:2501.07398 (engl.)
Prof. Dr. Berit Zeller-Plumhoff übernimmt kommissarische Leitung des Instituts für Metallische Biomaterialien

Wir freuen uns bekanntzugeben, dass Prof. Dr. Berit Zeller-Plumhoff seit dem 1. Januar 2025 kommissarisch die Leitung des Instituts für Metallische Biomaterialien in Teilzeit übernommen hat. Prof. Dr. Zeller-Plumhoff, die zuvor die Abteilung MBS leitete, ist inzwischen Professorin für Data-driven Analysis and Design of Materials an der Fakultät für Maschinenbau und Schiffstechnik der Universität Rostock.
Prof. Dr. Zeller-Plumhoff wird das Institut MB neben ihrer anspruchsvollen Tätigkeit in Rostock leiten, bis Prof. Dr. Regine Willumeit-Römer von ihrer Aufgabe als kommissarische Geschäftsführung des Hereon zurückkehrt.
Wir sind überzeugt, dass Prof. Dr. Zeller-Plumhoff das Institut mit großer Kompetenz und Engagement führen wird, und freuen uns auf zahlreiche wissenschaftliche Erfolge unter ihrer Leitung.
MB beim Deutschen Kongress für Orthopädie und Unfallchirurgie 2024

MB Messestand auf dem DKOU
v.l.n.r.: Dr. Vasyl Haramus, Dr. Heike Helmholz, Dr. Domonkos Tolnai, Dr. Thomas Ebel, Prof. Dr. Norbert Hort
Der diesjährige Deutsche Kongress für Orthopädie und Unfallchirurgie, lt. eigener Aussage "Der bedeutendste Kongress des Faches Orthopädie und Unfallchirurgie in Deutschland und auch europaweit der größte auf seinem Gebiet", fand in der Woche vom 22.- 25. Oktober in Berlin auf dem Messegelände statt. Wir haben diese Gelegenheit genutzt und mit einem Messestand den Orthopäden, Medizinstudenten, und Vertretern der Industrie für Herstellung und Vertrieb von Implantaten unsere Mg-basierten Biomaterialien und deren Herstellungsprozesse nähergebracht.
Abgesehen von der gut besuchten Messe gab es spannende Vorträge zur Behandlung und Geweberegeneration bei Knochenfrakturen und Gelenkerkrankungen. Dabei waren neue Biomaterialien ebenso ein Thema wie die Folgen von periprosthetischen Infektionen und anderen Begleiterkrankungen. Der Anwendung von Mg-Implantaten war eine eigene Industrie-Session gewidmet.
website Deutscher Kongress für Orthopädie und Unfallchirurgie
Hybridimplantate für eine verbesserte Knochenheilung: Ein weiterer Schritt hin zum Ti-Mg-Hybridimplantat

Elektronenmikroskopische Aufnahme der Schnittstelle zwischen Magnesium (Mg) und Titan (Ti) Teil, einschließlich PEO-Beschichtung. Es ist zu erkennen, wie sich die Beschichtung über beide Materialien erstreckt
Hybridimplantate, bestehend aus einem permanenten und einem sich auflösenden Teil, bieten vielversprechende Therapieansätze für die Knochenheilung nach Unfällen oder Krankheiten. Der permanente Teil sorgt für dauerhafte Stabilität, während der degradierende Teil Knochendefekte ausgleicht und die Knochenregeneration fördert. Titan und Magnesium sind hierfür besonders geeignet.
Frühere Versuche am Institut haben gezeigt, dass Sintertechniken die Verbindung beider Materialien ermöglichen. Eine Herausforderung bleibt jedoch die beschleunigte Degradation des Magnesiums durch das Titan. In Zusammenarbeit mit den Instituten für Oberflächenforschung und Werkstoffphysik konnte eine mögliche Lösung aufgezeigt werden: Eine Plasma-Elektrolytische Oxidation (PEO) Schicht auf gesinterten Mg-Ti Probekörpern reduziert die Degradationsgeschwindigkeit signifikant, ohne die Auflösung vollständig zu verhindern. Synchrotron-Tomographie-Messungen zeigten, dass die innere Struktur der PEO Schicht vom unterliegenden Material abhängt.
Weitere Experimente sind nötig, aber die bisherigen Ergebnisse sind vielversprechend und stellen einen wichtigen Schritt in Richtung nutzbarer Hybridimplantate dar.
Zum Artikel Fazel et al., Journal of Magnesium and Alloys 2024 12(8):3142-3158 (engl.)
CAU, Hereon und UKSH vereinbaren Kooperation für digitale Implantatforschung
Die Christian-Albrechts-Universität zu Kiel (CAU), das Helmholtz-Zentrum Hereon und das Universitätsklinikum Schleswig-Holstein (UKSH) schließen sich zum Thema Digitale Implantatforschung zusammen. Ziel dieses interdisziplinären Vorhabens ist es, die Implantatentwicklung mithilfe der Kombination von Biomaterialforschung, Datenwissenschaften sowie KI- und medizinischer Forschung auf ein neues Niveau zu heben.

Zuversichtlich und voller Vorfreude nach dem erfolgreichen Gründungssymposium am 10. Juni 2024 in Kiel: Die Mitglieder des Gründungsteams (v. l. n. r.) Prof. Cyron, Prof. Checa, Prof. Jansen, Prof. Saalfeld, Prof. Deuschl, Prof. Willumeit-Römer und Prof. Quandt. Weitere Mitglieder (nicht abgebildet): Prof. Tomforde und Prof. Popp.
Prof. Dr. Regine Willumeit-Römer, Mit-Initiatorin der Kooperation und Direktorin des Instituts für Metallische Biomaterialien am Hereon: „Die Zukunft der Implantatentwicklung liegt im Einsatz von Computersimulationsmodellen und künstlicher Intelligenz, die den komplizierten Entwicklungszyklus vom Material bis zur Geweberegeneration abbilden und anschließend in den Zulassungsprozess Eingang finden. Damit können bestehende Implantate verbessert und zu - auf individuellen, molekularen Körper-Eigenschaften basierenden - personalisierten Implantaten weiterentwickelt werden.“ Dabei stehen sogenannte Digitale Zwillinge, die physiologische und materialwissenschaftliche Verhältnisse in Computermodellen abbilden, im Mittelpunkt der Forschung.
Mit Hilfe Digitaler Zwillinge werden neue Implantate zukünftig nicht mehr an der Werkbank, sondern am Hochleistungsrechner entwickelt, und sie werden nicht mehr heuristisch akzeptabel, sondern umfassend optimiert an die medizinischen Notwendigkeiten angepasst werden können.
Der Beitrag des Instituts für Metallische Biomaterialien liegt dabei in der Bereitstellung von Daten zu Mg-basierten und damit abbaubaren Implantaten im biologischen Umfeld, der Durchführung entsprechender Experimente und Simulationen. Außerdem fungiert Prof. Willumeit-Römer als Projektkoordinatorin.
IDIR website
DAAD-Rise-Stipendiatin Janice Xie bei MBB

Janice Xie (Foto: Heike Helmholz)
Janice Xie ist Studentin an der Northwestern University in Illinois, USA, und studiert Materialwissenschaften und Ingenieurwesen mit Schwerpunkt Biomaterialien. In ihrer Zeit bei uns erforscht sie vor allem die Fremdkörperreaktion auf Mg-Li-Legierungen.
zum News Artikel im Hereon Intranet
Erfolgreicher 3D-Druck von Knochenregenerationsstrukturen aus Magnesium

Mittels sinterbasiertem 3D-Druck hergestellte offene Gitterstrukturen aus Magnesium. Die experimentell gemessene mechanische Druck-Belastbarkeit stimmt mit Simulationsrechnungen überein.
Zur Behandlung von krankheits- oder unfallbedingten Knochendefekten kann der Einsatz von offenen Gitterstrukturen sinnvoll sein. Sie stabilisieren sofort das umliegende Gewebe und dienen im weiteren Heilungsverlauf als Stütze bei der Knochenneubildung, ähnlich einem Rankgitter im Pflanzenbeet. Die Verbindung von degradierendem Magnesium mit den Möglichkeiten des 3D-Drucks ermöglicht die patientenspezifische, dem Defekt angepasste Herstellung von temporären Implantaten. Im Idealfall wird nach der Auflösung des Gitters statt des Defektes reiner, gesunder Knochen vorliegen. Zudem bietet der 3D-Druck durch die Wahl der Struktur die mechanischen Eigenschaften genau an die benötigte Belastbarkeit am Defektort anzupassen, um die Knochenheilung weiter zu fördern.
In dieser Studie wurde erstmals eine solche Struktur mittels sinterbasiertem 3D-Druck (Fused Granular Fabrication) aus einer Magnesium-Gadolinium Legierung erfolgreich hergestellt. Die experimentell bestimmten mechanischen Eigenschaften wurden mit Ergebnissen einer Computersimulation (Finite Elemente Modell) verglichen und zeigten gute Übereinstimmung. Damit ist die Grundlage für geometrisch und mechanisch angepasste Knochenregenerationsmaterialien gegeben.
Zum Artikel Wolff et al., JMA 2023 11(8):2750-2762 (engl.)
Überbrückung der Lücke zwischen in vitro und in vivo Abbauraten von Mg-xGd Implantaten

Die mit dem Surrogatmodell berechnete Abbaurate im Vergleich zu den experimentellen Daten. Für die Proben nach 4 und 8 Wochen sind Volumendarstellungen eingefügt
Ist es möglich, den in vivo Abbau von Magnesiumimplantaten auf der Grundlage ihres Abbauverhaltens in vitro vorherzusagen? In unserer Veröffentlichung "Utilizing Computational Modelling to Bridge the Gap between In Vitro and In Vivo Degradation Rates for Mg-xGd Implants" haben wir ein sogenanntes Surrogatmodell entwickelt, das mittels eines rechenintensiveren Computermodell trainiert wird. Durch die Kalibrierung des Surrogatmodells mit experimentellen Datensätzen aus dem in vitro und dem in vivo Abbau von Magnesiumschrauben konnten wir einen Parameter finden, mit dem wir das eine auf das andere übertragen können. In diesem Fall können wir die Diffusionsraten von Mg2+-Ionen in den verschiedenen Systemen miteinander verknüpfen. In Zukunft könnte es möglich sein, die Abbauraten abzuschätzen, indem solche Verknüpfungen zwischen den aus in vitro und in vivo Experimenten abgeleiteten Diffusionsraten durch Surrogatmodelle genutzt werden. Dies würde es uns ermöglichen, Schlussfolgerungen über die in in vivo Abbauraten allein aus in vitro Experimenten zu ziehen. Zum Artikel Al Baraghtheh et al., Corros. Mater. Degrad. 2023 4(2):274-283 (engl.)
Fortschritt in der anwendungsorientierten Simulation des Sinterprozesses

Simulation der Sinterung eines Pulverwürfels. Das neue Modell beschreibt realitätskonform das Zusammenwachsen der Pulverteilchen, das zu einer Größenänderung des Würfels führt (links: Initiale Konfiguration, t = 0s, rechts: finale Konfiguration, t = 5000s)
Die Sinterung ist ein zentraler Prozess zur Herstellung von Implantaten aus Metallpulvern. Dabei verschmelzen die Pulverpartikel bei hohen Temperaturen zu einem nahezu dichten Material. Die Eigenschaften des Endprodukts werden maßgeblich durch die Legierung, die Pulverform und -größe sowie die Temperatur und Zeit beeinflusst. Derzeit werden optimierte Prozessparameter durch aufwändige und kostenintensive Testreihen ermittelt. Computersimulationen bieten eine vielversprechende Alternative, um diesen Aufwand zu reduzieren und optimale Sinterparameter ohne umfangreiche experimentelle Versuche zu bestimmen.
In Zusammenarbeit mit dem Institut für Werkstoffsystem-Modellierung wird ein neues, anwendungsorientiertes Sintermodell entwickelt. Eine aktuelle Studie hat einen bedeutenden Durchbruch erzielt, indem physikalisch präzise Berechnungen in akzeptabler Rechenzeit ermöglicht wurden. Ein häufiges Problem bestehender Sintermodelle, das fehlende Schrumpfen der Bauteile in Simulationen, wurde erfolgreich gelöst. Der neue Ansatz kombiniert ein am Hereon entwickeltes "7DOF" (7 degrees of freedom) Modell mit einem Discrete Element Method Modell. Das 7DOF-Modell berechnet effizient die Materialbewegungen zwischen den Pulverpartikeln, während das Modell der Discrete Element Method die auftretenden Kräfte und die daraus resultierenden Formänderungen simuliert. Vergleiche mit experimentellen Daten zeigten eine hohe Übereinstimmung und bestätigten die Genauigkeit des Modells.
Zum Artikel Ivannikov et al., Comp. Part. Mech. 2023 10:185–207 (engl.)
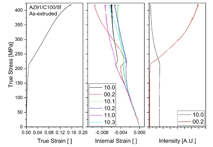
Editor’s Choice Artikel: In-Situ-Synchrotron Diffraktionsstudie von Magnesium-Verbundwerkstoffen

Makroskopische wahre Dehnung (links), Dehnung auf den crystallographischen Ebenen (Mitte) und Intensität (rechts) gegen wahre Spannung für AZ91/C100/5f im extrudierten Zustand
Im Sinne der Nachhaltigkeit in der Automobil- und Luft- und Raumfahrtindustrie ist die Verwendung leichter Materialien. Magnesium ideal: Magnesium ist leicht, hat eine hohe spezifische Festigkeit, gute Umformbarkeit und Gießbarkeit. Diese Eigenschaften sowie die Korrosionsbeständigkeit und Duktilität kann durch die gezielte Legierunsauswahl weiter verbessert werden. Mg basierte Verbundwerkstoffe (MMC) bieten erhöhte Festigkeit, wobei das geringe Gewicht des Matrix-Materials erhalten bleibt. Bei der Wahl der Verstärkung kann auch die Nachhaltigkeit berücksichtigt werden. Recycelte Kohlenstofffasern (rCFs), die aus kohlenstofffaserverstärkten Polymeren gewonnen werden, behalten viele ihrer mechanischen Eigenschaften bei, sind aber günstiger und weniger energieintensiv in der Herstellung als eine Neuproduktion. Als Grundlage für die Entwicklung nachhaltiger Hochleistungsverbundwerkstoffe wurde in der Studie von unserem Institut gemeinsam mit unserem Partnerinstitut für Material- und Prozessdesign und der Universität Cambridge Synchrotronstreuung angewendet, um zu verstehen, wie Wärmebehandlungen und die rCF-Verstärkung die aktiven Verformungsmechanismen während einer Druckbelastung beeinflussen. Die zugehörige Publikation wurde als Editor's Choice Article in Crystals veröffentlicht. Zum Artikel Mance et al., Crystals 2022 12(11):1502 (engl.)
Helmholtz Imaging 'Best Scientific Image' Wettbewerb 2023: 1. Platz in der Kategorie ,participants choice award'

Magnesium-Aquarellwirbel von Sarkis Gavras (Hereon)
Sarkis Gavras gewann mit seinem Bild eines Magnesium-Aquarellwirbels den ersten Platz beim Best Scientific Image Contest 2023 in der Kategorie „Participants‘ Choice Award“. Dieses optische Bild mit polarisiertem Licht zeigt die Vergrößerung einer Magnesiumlegierung mit einer bunten Anordnung kleiner Körner, die sich am Rand einer wirbelförmigen Pore gebildet haben. Best Scientific Image 2023 (engl.)
Implantatmaterial und Knochenmorphologie beeinflussen gleichermaßen Implantatstabilität
In unserer aktuellen Veröffentlichung “On the material dependency of peri-implant morphology and stability in healing bone” untersuchten wir das Verhalten von Knochenimplantaten unter Belastung in einer realistischen Umgebung. Dazu wurden an den von Hereon bei DESY betriebenen Strahllinien Push-out-Tests von Schraubenimplantaten aus Titan, PEEK und biologisch abbaubare Magnesium-Gadolinium-Legierungen dynamisch in 3D mittels Mikro-Computertomographie abgebildet.
So konnten die Spannungen im Knochen rund um die Implantate und die Knochenimplantat-stabilität experimentell visualisiert und quantitativ verglichen werden. Die Studie zeigt, dass Knochenmorphologie und Lastübertragung vom Implantat auf den Knochen stark materialabhängig sind. Insofern ist die Implantatstabilität eine Funktion unterschiedlicher Strukturparameter. Wir gehen daher davon aus, dass die Wahl des Materials für das Knochenimplantat der Zukunft nicht nur eine Wahl zwischen einem oder zwei Materialien sein wird, sondern genauso von der Form der Fraktur und der Knochengesundheit des Patienten abhängt.
Zum Artikel Bruns et al., Bioactive Materials 28 (2023):155-166 (engl.)

Darstellung der Knochenverformung, ermittelt aus einer Push-out-Sequenz. Die Farbe gibt das Ausmaß der Verformung an.
Die Auflösung: Magnesium für die Medizin
Bilder, Videos und weiterführende Links
Video Die Auflösung: Magnesium für die Medizin 360°